• Предмет: Алгебра
  • Автор: amirovaamirovameilru
  • Вопрос задан 7 лет назад

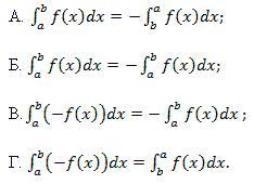
Укажите неверное равенство:

Приложения:

Ответы

Ответ дал: anyaaamir
0
Неверно Б………………. ………………
Вас заинтересует