• Предмет: Математика
  • Автор: Sleepybro
  • Вопрос задан 7 лет назад

Помогите пожалуйста!!СРОЧНО!!!

Приложения:

Ответы

Ответ дал: elmao
2

Ответ:

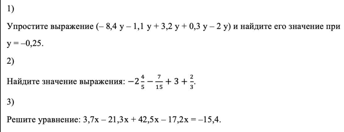
1) Если y=-0.25, то -8y=-8*-0.25=2

2) -14/5-7/15+3+2/3=-42/15-7/15+45/15+10/15=6/15=2/5 или 0,4

3) 7,7х=-15,4

х=-2

Вас заинтересует