Ответы
Ответ дал:
1
Ответ:
a+5b+a2-25b2 = a+5b+2а-50b = 3а-45b
Ответ: 3а-45b
Ответ дал:
0
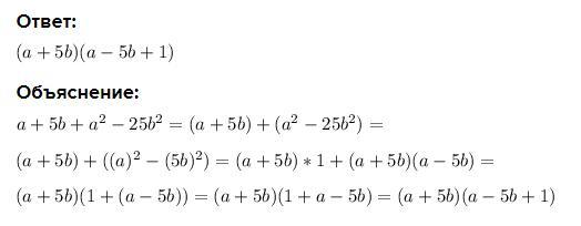
Ответ:
Объяснение:
Приложения:

Вас заинтересует
2 года назад
2 года назад
2 года назад
2 года назад
8 лет назад
8 лет назад
9 лет назад