Ответы
Ответ дал:
3
Ответ:
здравствуйте. надеюсь все понятно. пожалуйста поставьте лучший ответ
Приложения:

shaxtiandr1909:
Я и тут
Ответ дал:
0
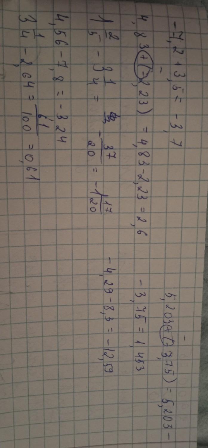
-7,2 + 3,5 = -3,7
4,83 + (-2,23) = 4,83 - 2,23 = 2,6
4,56 - 7,8 = -3,24
5,203 + (-3,75) = 5,203 - 3,750 = 1,453
-4,29 - 8,3 = -12,59
Вас заинтересует
2 года назад
2 года назад
2 года назад
2 года назад
8 лет назад
9 лет назад
9 лет назад