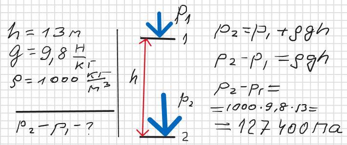
Розрахуй різницю тисків у трубах водогону на нижньому поверсі будівлі і на поверсі, розташованому вище першого поверху на 13 м. Вважай g = 9,8 Н/кг.
Ответы
Ответ дал:
1
Ответ:
127,4 кПа
Объяснение:
P1 = pgh 1
P2 = pgh 2
P2-P1 = pgh 2 - pgh 1 = pg ( h2-h1) = 1000 кг/м3 *9,8 Н *13 = 127 400 Па
127,4 кПа
Ответ дал:
1
Ответ: 127,4 кПа
Объяснение:
Приложения:

Вас заинтересует
2 года назад
2 года назад
2 года назад
8 лет назад