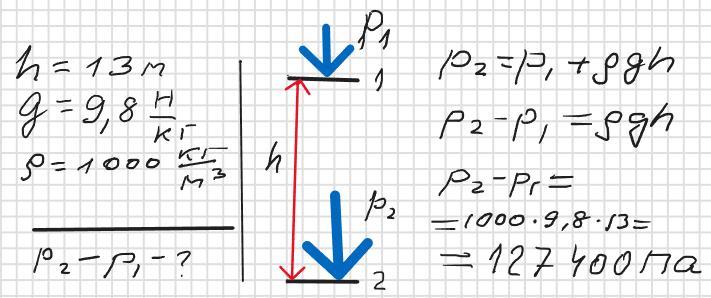
Розрахуй різницю тисків у трубах водогону на нижньому поверсі будівлі і на поверсі, розташованому вище першого поверху на 13 м. Вважай g = 9,8 Н/кг. ДОПОМОЖІТЬ!!
Ответы
Ответ дал:
1
Ответ: 127,4 кПа
Объяснение:
Приложения:

Вас заинтересует
2 года назад
2 года назад
2 года назад
8 лет назад
8 лет назад
9 лет назад
9 лет назад