• Предмет: Математика
  • Автор: frutbou11
  • Вопрос задан 7 лет назад

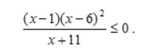
решите неравенства. Выберете количество целых решений данного неравенства

Приложения:

Ответы

Ответ дал: reverasvetlana
0

Ответ:

Количество целых решений - 12

Приложения:
Вас заинтересует