• Предмет: Физика
  • Автор: hristinamar2007
  • Вопрос задан 7 лет назад


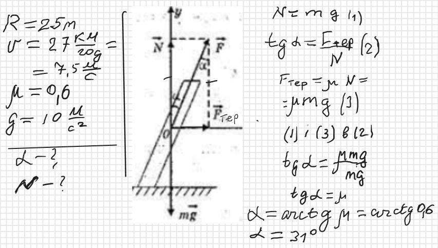
велосипедист описує коло радіусом 25 м зі швидкістю 27 км/год на який кут нахилиться велосипедист якщо коефіцієнт тертя коліс дорівнює 0,6? яка сила реакції опори діє на нього? ​


zybkov1950: Умова неповна !

Ответы

Ответ дал: zybkov1950
1

Ответ: 31⁰

Объяснение: Для визначення сили реакції опори немає маси велосипедиста

Приложения:

hristinamar2007: Скажіть будь ласка, що пише після альфа = перед останнє?
zybkov1950: arctg
hristinamar2007: дуже дякую!
Вас заинтересует