• Предмет: Алгебра
  • Автор: sathaserga
  • Вопрос задан 7 лет назад

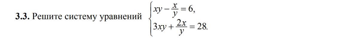
ПОМОГИТЕ СРОЧНО ОЧЕНЬ ПРОШУ МЕТОДОМ 9 КЛАСС!!!!!! ДАЮ 40 БАЛОВ!!!!!!!!!!!!

Приложения:

Ответы

Ответ дал: kamilmatematik100504
2

Ответ: ( 4 ; 2 ) и ( -4 ; -2 )

Объяснение:

\left \{ \begin{array}{l} xy -\dfrac{x}{y}  = 6  \\\\  3xy  + \dfrac{2x}{y}  =  28  \end{array} \right. \\\\\\ Zamena :\\\\ xy = a \\\\ \dfrac{x}{ y} = b  \\ ------------ \\\\\ \oplus \left \{ \begin{array}{l} a-b  = 6 ~~ \big | \cdot 2 \\\\  3a+2b  =  28  \end{array} \right. \Leftrightarrow   \oplus  \left \{ \begin{array}{l} 2a-2b  = 12  \\\\  3a+2b  =  28  \end{array} \right. \Leftrightarrow   \\\\\\\ 3a+2a +2b- 2b = 12+ 28  \\\\ 5a = 40  \\\\ a = 8 \\\\  b = a-6  = 2

\left \{ \begin{array}{l} xy  = 8    \\\\  \dfrac{x}{y} =2   \end{array} \right. \Leftrightarrow    \left \{ \begin{array}{l} xy  = 8    \\\\  x =2y ~  ; ~ y \neq 0     \end{array} \right. \Leftrightarrow   \\\\\\ 2y\cdot y  = 8  \\\\\ y ^2  = 4  \\\\  y _{1;2}  = \pm 2 \\\\ x_{1;2 }  = \pm 4

Вас заинтересует