• Предмет: Математика
  • Автор: NuzhMosh
  • Вопрос задан 7 лет назад

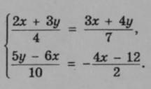
На данном фото нужно решить систему уравнений с двумя переменными методом подстановки.​

Приложения:

Ответы

Ответ дал: Аноним
0

\displaystyle \left \{ {{\frac{2x+3y}{4}=\frac{3x+4y}{7}  } \atop {\frac{5y-6x}{10}=-\frac{4x-12}{2}  }} \right.\\ \\\left \{ {{x=-\frac{5}{2}y } \atop {\frac{5y-6x}{10}=-\frac{4x-12}{2}  }} \right. \\\\\\\frac{5y-6*(-\frac{5}{2}y) }{10}=-\frac{4*(-\frac{5}{2}y)-12 }{2}   \\\\y=-2\\\\x=-\frac{5}{2}*(-2)\\ \\x=5\\(x,y)=(5,-2)

Вас заинтересует