• Предмет: Алгебра
  • Автор: be12be
  • Вопрос задан 7 лет назад

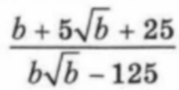
Сократите дробь (b+5sqrt(b)+25)/(bsqrt(b)-125)

Приложения:

Ответы

Ответ дал: MatemaT123
2

Ответ:

\dfrac{1}{\sqrt{b}-5}

Объяснение:

\dfrac{b+5\sqrt{b}+25}{b\sqrt{b}-125}=\dfrac{b+5\sqrt{b}+25}{\sqrt{b^{3}}-5^{3}}=\dfrac{b+5\sqrt{b}+25}{(\sqrt{b})^{3}-5^{3}}=\dfrac{b+5\sqrt{b}+25}{(\sqrt{b}-5)((\sqrt{b})^{2}+5\sqrt{b}+5^{2})}=

=\dfrac{b+5\sqrt{b}+25}{(\sqrt{b}-5)(b+5\sqrt{b}+25)}=\dfrac{1}{\sqrt{b}-5};

Вас заинтересует