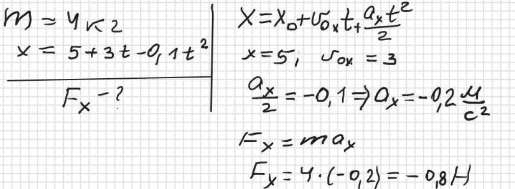
Тіло масою 4 кг рухається вздовж осі Ох так, що його координата змінюється за законом x = 5 + 3t - 0,1t . Визначте проекцію на вісь Ох сили, що діє на тіло.
Ответы
Ответ дал:
1
Ответ: - 0,8 Н
Объяснение:
Приложения:
Вас заинтересует
2 года назад
2 года назад
3 года назад
3 года назад
8 лет назад
8 лет назад
10 лет назад