• Предмет: Математика
  • Автор: nasattention57
  • Вопрос задан 7 лет назад

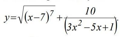
Дифференциальные исчисления. Помогите найти производную

Приложения:

Ответы

Ответ дал: ZuppFeyDrow
1

y'=\frac{1}{2\sqrt{(x-7)^7}}*7(x-7)^6-10*\frac{3*2x-5}{(3x^2-5x+1)^2} = \frac{7(x-7)^6}{2\sqrt{x-7)^7}}-\frac{60x-50}{(3x^2-5x+1)^2}

Вас заинтересует