• Предмет: Математика
  • Автор: nasattention57
  • Вопрос задан 7 лет назад

Дифференциальное исчисление. Помогите найти производную.

Приложения:

Ответы

Ответ дал: natalyabryukhova
0

Ответ:

\displaystyle        y'= \frac{{arcsin^4x}}{(x+1)\;ln4} +{\frac{4\;log_4(x+1)\cdot{arcsin^3x}}{\sqrt{1-x^2} }

Пошаговое объяснение:

Требуется найти производную.

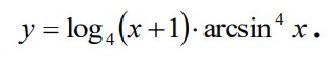
у = log₄(x + 1) · arcsin⁴x

Производная произведения:

\displaystyle        \boxed {(uv)'=u'v+uv'}

\displaystyle        y'=(log_4(x+1))'\cdot{arcsin^4x+log_4(x+1)\cdot{(arcsin^4x)'=

================================================

Производная сложной функции:

\displaystyle        \boxed {(log_au)'=\frac{u'}{u\;ln\;a};\;\;\;\;\;(u^n)'=nu^{n-1}u' }

=================================================

\displaystyle        =\frac{(x+1)'}{(x+1)ln4} \cdot{arcsin^4x}+log_4(x+1)\cdot4arcsin^3x\cdot(arcsin\;x)'=

==================================================

\displaystyle        \boxed {x' =1;\;\;\;\;c'=0;\;\;\;\;\;(arcsin\;x)'=\frac{1}{\sqrt{1-x^2} } .}

===================================================

\displaystyle     =   \frac{1\cdot{arcsin^4x}}{(x+1)\;ln4} +4\;log_4(x+1)\cdot{arcsin^3x}\cdot{\frac{1}{\sqrt{1-x^2} } }=\\\\= \frac{{arcsin^4x}}{(x+1)\;ln4} +{\frac{4\;log_4(x+1)\cdot{arcsin^3x}}{\sqrt{1-x^2} }

Вас заинтересует