• Предмет: Алгебра
  • Автор: antoshkivroman1
  • Вопрос задан 7 лет назад

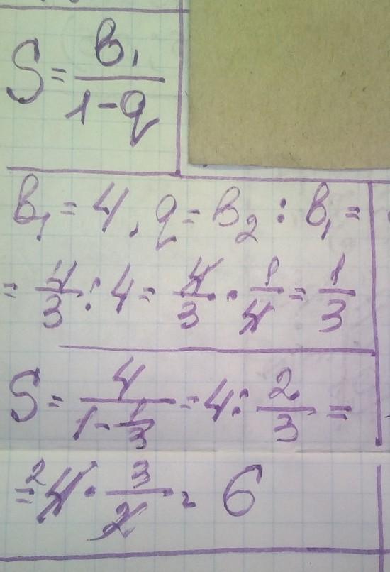
знайдіть суму нескінченної геометричної прогресії 4; 4/3; 4/9; ...​

Ответы

Ответ дал: manyny06
0

Ответ:

решение смотри на фотографии

Приложения:
Вас заинтересует