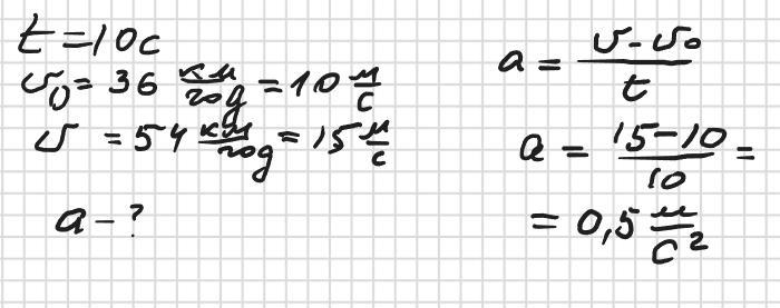
СРОЧНО!! Під час спуску із гори швидкість тіла яке рухається прямолінійно і рівноприскорено, змінилася за 10 с від 36 км/год до 54 км/год. Яке прискорення тіла?
Ответы
Ответ дал:
1
Ответ: 0,5 м/с²
Объяснение:
Приложения:

Вас заинтересует
2 года назад
2 года назад
8 лет назад
8 лет назад
9 лет назад