• Предмет: Физика
  • Автор: omg10726
  • Вопрос задан 7 лет назад

задание 10
нужно полное решение

Приложения:

Ответы

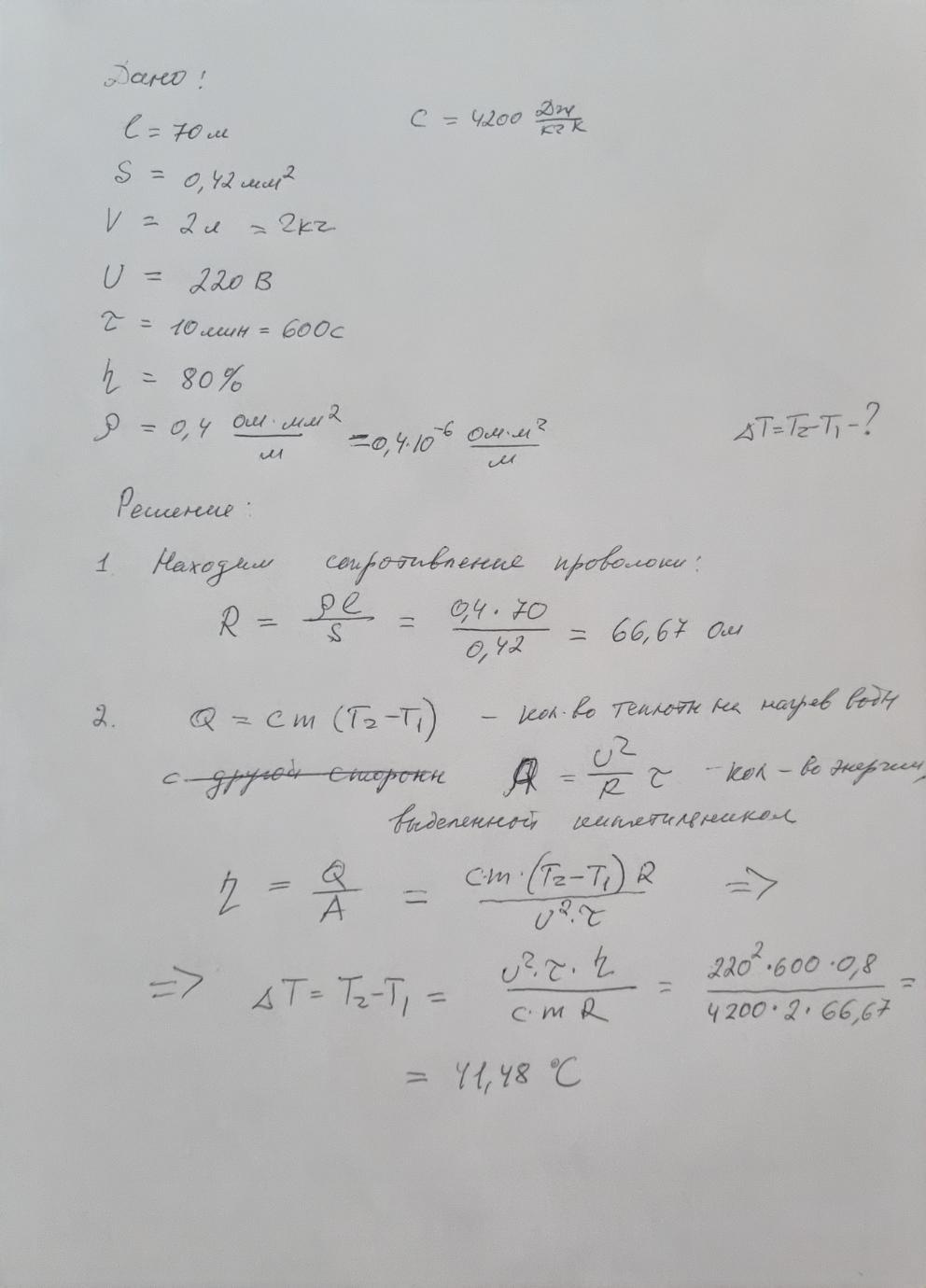
Ответ дал: arkadiymarin
1

Ответ:

Т2-Т1=41,48 °С

Объяснение:

Приложен файл

Приложения:

omg10726: спасибо большое
Вас заинтересует