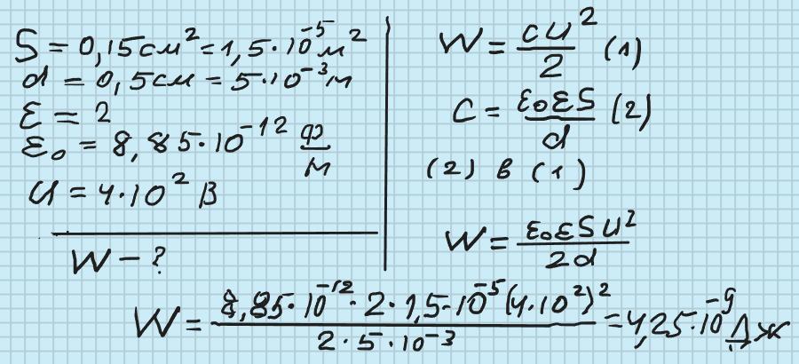
Визначте енергію плоского конденсатора з площею пластин 0,15 см^2, заповненого шаром діелектрика завтовшки 0,5 см та з діелектричною проникністю 2, який заряджений до різниці потенціалів 400 В?
Ответы
Ответ дал:
3
Ответ: 4,25 нДж
Объяснение:
Приложения:

fdfdggddgg4537:
помоги пожалуйста с задачей у меня в профиле
Вас заинтересует
2 года назад
2 года назад
2 года назад
8 лет назад
9 лет назад