• Предмет: Математика
  • Автор: somicheva
  • Вопрос задан 7 лет назад

Желательно с развернутым решением ​

Приложения:

sophiabalanyuk11: 1) (m+n)*(x-y+1)

Ответы

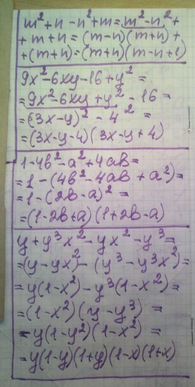
Ответ дал: manyny06
0

Ответ:

решение смотри на фотографии

Приложения:
Ответ дал: sophiabalanyuk11
0

Ответ:

1) (m+n)*(m-n+1)

2) (3x-y-4)*(3x-y+4)

3) (1-2b-a)*(1+2b+a)

4) y+x(во второй степени)*y(в третей степени)-y(в третей степени)

Вас заинтересует