• Предмет: Математика
  • Автор: sergijevdosek2
  • Вопрос задан 7 лет назад

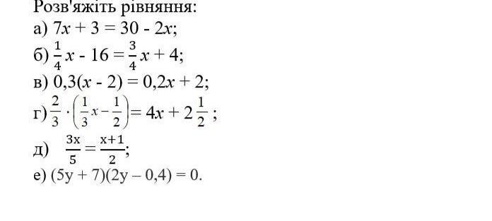
Номер д........... терміново

Приложения:

Ответы

Ответ дал: amazing82
1

Ответ:

x = 5

Пошаговое объяснение:

 \frac{3x}{5}  =  \frac{x + 1}{2}

Умножим числитель первой дроби на знаменатель второй дроби. Приравняем результат к произведению знаменателя первой дроби и числителя второй дроби

3x \times 2 = 5(x + 1)

6x = 5(x + 1)

6x = 5x + 5

6x  - 5x = 5

x = 5

Вас заинтересует