• Предмет: Математика
  • Автор: sergijevdosek2
  • Вопрос задан 7 лет назад

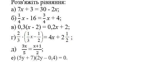
Номер "б"...... терміново

Приложения:

Ответы

Ответ дал: tatsach
0

Ответ:

Пошаговое объяснение:

Приложения:
Вас заинтересует