• Предмет: Алгебра
  • Автор: rmnmanakov
  • Вопрос задан 7 лет назад

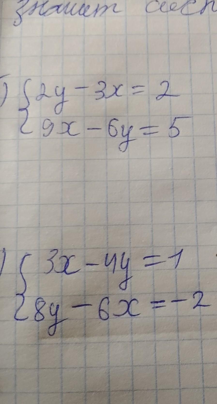
помогите понять сколько решений имеют эти системы без построения графика?????срочно!!!!! пожалуйста!!!!​

Приложения:

Ответы

Ответ дал: Мишкабаянов
1

КАК ПОНЯТЬ СКОЛЬКО РЕШЕНИЙ ИМЕЕТ СИСТЕМА?

Пусть система имеет вид

{а1х + b1y + c1 = 0
{a2x + b2y + c2 = 0

тогда СИСТЕМА ИМЕЕТ ОДНО РЕШЕНИЕ ЕСЛИ: а1/а2 ≠ b1/b2;

СИСТЕМА НЕ ИМЕЕТ РЕШЕНИЙ ЕСЛИ: а1/а2 = b1/b2 ≠ c1/c2;

СИСТЕМА ИМЕЕТ БЕСКОНЕЧНОЕ КОЛИЧЕСТВО РЕШЕНИЙ ЕСЛИ

а1/а2 = b1/b2 = c1/c2


———————————————-

Итак решим ваше задание.
1. поставим в системе все на свои места

2y - 3x = 2

-6y + 9x = 5
а1/а2 = 2/-6 = -1/3

b1/b2 = 1/3

c1/c2 = 2/5

b1/b2 ≠ c1/c2 значит решений нет

2. 3x - 4y = 1

-6x + 8y = -2

a1/a2 = 3/-6 = -1/2

b1/b2 = -4/8 = -1/2

c1/c2 = 1/-2 = -1/2

а1/а2 = b1/b2 = c1/c2, значит бесконечное множество решений


rmnmanakov: спасибо
Вас заинтересует