• Предмет: Математика
  • Автор: slavaakhmerov5
  • Вопрос задан 7 лет назад

Помогите пожалуйста даю 15 баллов

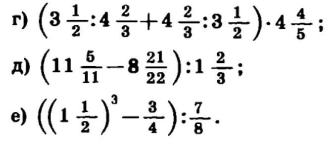
Приложения:

Ответы

Ответ дал: pihvix
0
Відповідь:
г)10
д)3/2 или 1,5
е)3
)Покрокове пояснення:

Вас заинтересует