Ответы
Ответ дал:
2
Ответ:
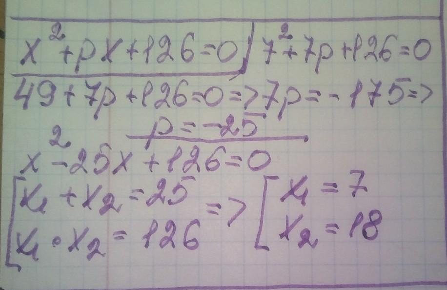
решение смотри на фотографии
Приложения:

sankovilla69:
дякую)
Ответ дал:
0
Ответ:
x^2 = икс в квадрате
x 2 = икс 2
Объяснение:
x^2+px+126=0
x1 +x2 = -p
x1*x2 = c, а це значе
x1*x2 = 126 7*x2 = 126 x2 = 126:7 = 18 x2 = 18
7+18 = -p
25 = -p
-1p = 25 | :(-1) (Щоб мінус в -p забрався)
p = -25
Відповідь: p = -25; x2 = 18
Вас заинтересует
2 года назад
2 года назад
2 года назад
8 лет назад
8 лет назад
9 лет назад
9 лет назад