• Предмет: Математика
  • Автор: OnikaMonika
  • Вопрос задан 7 лет назад

СРОЧНО!Даю 18 баллов! Покажите как вы нашли х, и покажите как вы решили прмеры в 6 задании !

Приложения:

OnikaMonika: СРОЧНО У МЕНЯ ОСТАЛОСЬ 10 МИНУТОК!!!!

Ответы

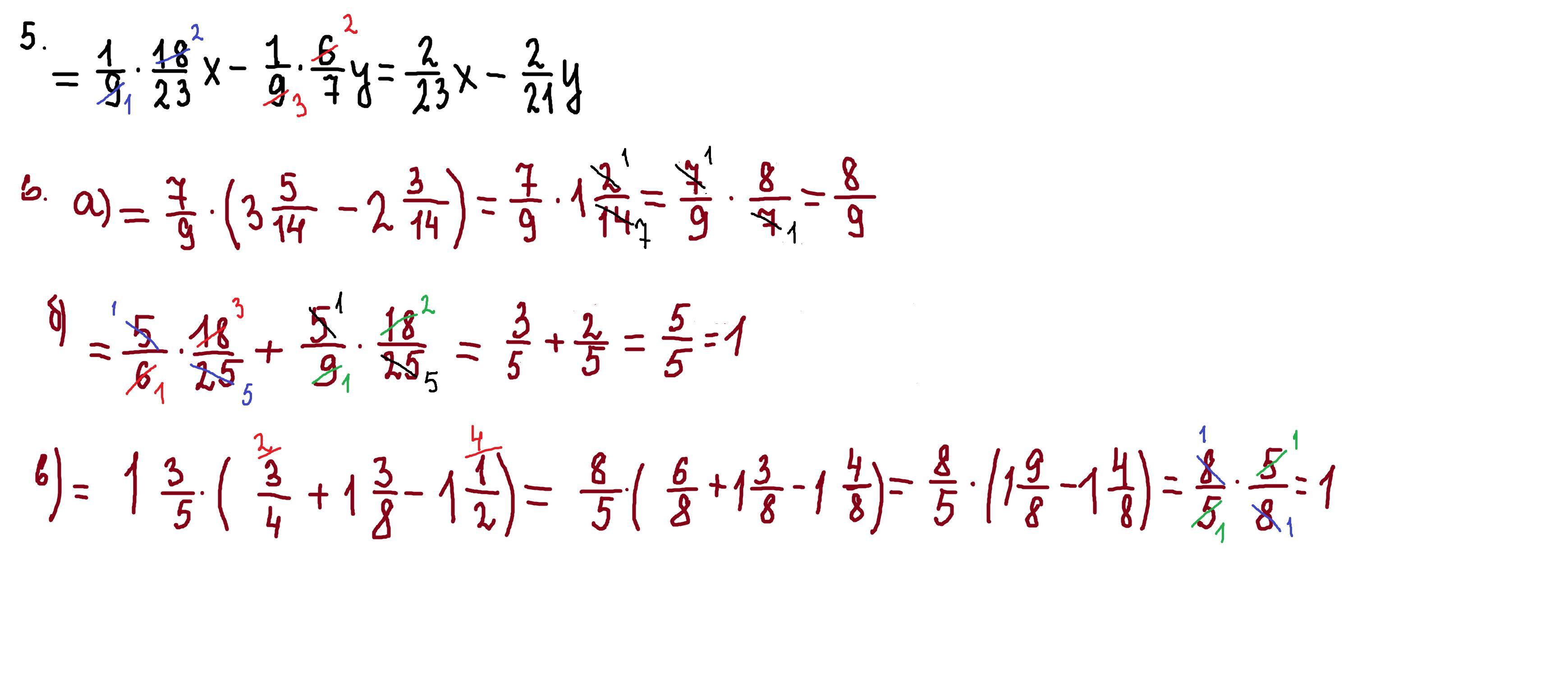
Ответ дал: natali198112306
1

Ответ:

1/9(18/23х-6/7у)=2/23х-2/21у

3 5/14*7/9-2 3/14*7/9=7/9(3 5/14-2 3/14)=7/9*1 2/14=7/9*8/7=8/9

(5/6+5/9)*18/25=5/6*18/25+5/9*18/25=3/5+2/5=5/5=1

3/4*1 3/5+1 3/5*1 3/8-1 1/2*1 3/5=1 3/5(3/4+11/8-3/2)=8/5*(6+11-12)/8=8/5*5/8=1

Пошаговое объяснение:

Ответ дал: parus77
0

Ответ:

Пошаговое объяснение:

х находить не надо,надо просто умножить на 1/9

решение внизу

Приложения:
Вас заинтересует