Ответы
Ответ дал:
2
.............................
Приложения:

Universalka:
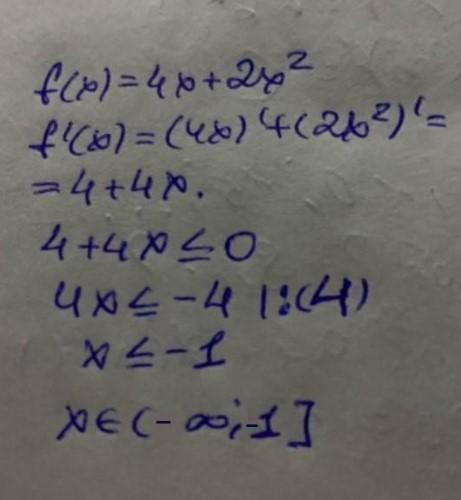
Вы пропустили знак минуса в ответе .
Ответ дал:
2
Вас заинтересует
2 года назад
2 года назад
2 года назад
9 лет назад
9 лет назад