Ответы
Ответ дал:
0
Ответ дал:
0
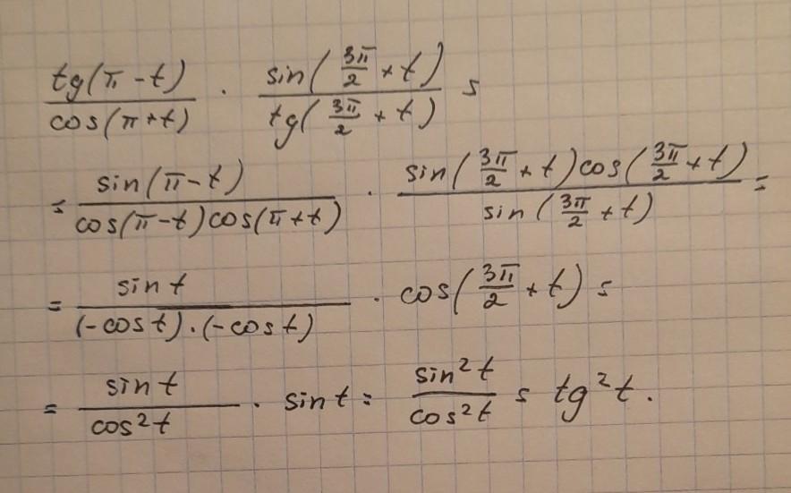
Решение представлено на прикрепленном изображении.
Ответ: tg² π.
Приложения:

Вас заинтересует
2 года назад
2 года назад
2 года назад
8 лет назад
8 лет назад
9 лет назад
9 лет назад