• Предмет: Математика
  • Автор: maruh26
  • Вопрос задан 7 лет назад

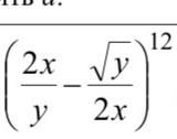
Найти член разложения бинома, который не содержит x

Приложения:

Ответы

Ответ дал: ElBanan
0

Ответ:

коэфициент : 924.  умножить на первый множитель в 6 степени и на второй множитель в 6 степени

Пошаговое объяснение:

1) Заметим, что если возвести 1 и 2 множитель в одинаковую степень, то множители не будут содержать x.

2) Случай, когда степени одинаковы встречаются 1 раз, когда k = 6, (12 - 6 = 6, 6 = 6)

3) По формуле числа сочетаний получаем = 12!/(6!*6!) = 7*8*9*10*11*12/6! = 7*2*3*11*2  = 924

 

Вас заинтересует