• Предмет: Математика
  • Автор: kostenkomihajlo
  • Вопрос задан 7 лет назад

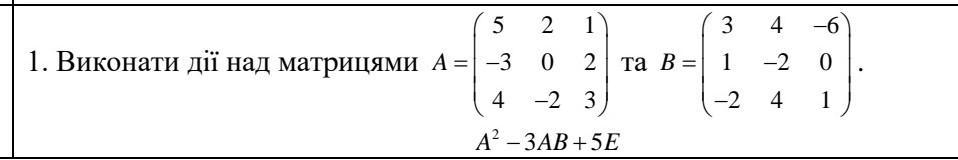
помогите как можно быстрее пожалуйста ​

Приложения:

Ответы

Ответ дал: nurgulnurgulowa
0

Ответ:

Пошаговое объяснение:рисунок не открывается извини

Вас заинтересует