• Предмет: Физика
  • Автор: GremFaust
  • Вопрос задан 7 лет назад

ДОПОМОЖІТЬ БУДЬ ЛАСКА. ДАЮ 100 БАЛІВ
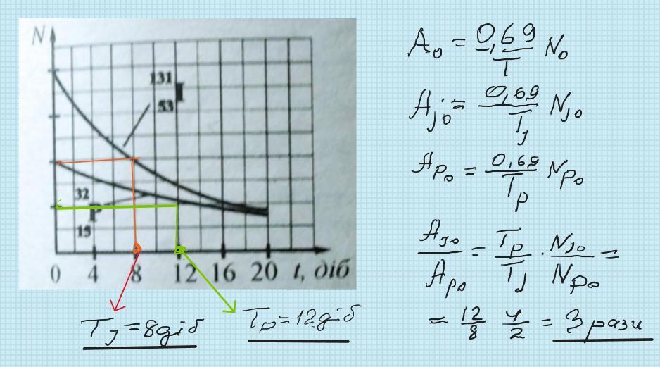
Використовуючи графіки залежиостей кількості ядер, що не розпалися в процесі радіоактивного розпаду, від часу (мал. 33), визначте періоди пірознаду та порівняйте активиості у початковий момеит iзотопiв Йоду та Фосфору.

Приложения:

Ответы

Ответ дал: zybkov1950
3

Ответ: Періоди піврознаду: Йоду - 8 діб;  Фосфору - 12 діб.

Активиність у початковий момеит iзотопiв Йоду у 3 рази бітьша від  активиості iзотопiв Фосфору.

Объяснение:

Приложения:
Вас заинтересует