• Предмет: Алгебра
  • Автор: aleksia104
  • Вопрос задан 7 лет назад

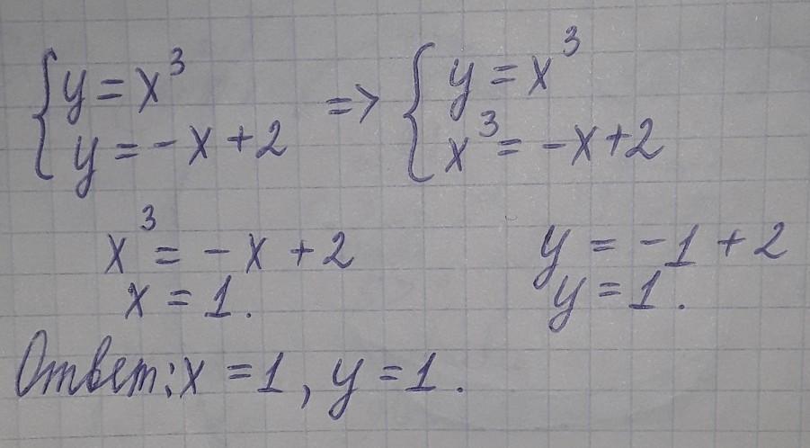
Решите систему
y=x³
y=-x+2

Ответы

Ответ дал: Olivia43
0

Ответ:

на фото :)

Объяснение:

____________

Приложения:
Ответ дал: ekaterinakovalenko91
0

Ответ:

вот как то так

Объяснение:

вот все на фото

Приложения:
Вас заинтересует