• Предмет: Математика
  • Автор: dasha2010sergeeva
  • Вопрос задан 7 лет назад

............ помогите!!!!!!!!!!

Приложения:

Ответы

Ответ дал: AsimptotaAlgebrovna
1

................................

Приложения:
Ответ дал: krsobv
0

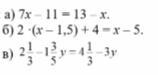
7x-11=13-x

7x+x=13+11

8x=24

x=3

2(x-1.5)+4=x-5

2x-3+4=x-5

2x+1=x-5

2x-x= -5-1

x= -6

2\frac{1}{3} -1\frac{3}{5} y=4\frac{1}{3} -3y\\\\\frac{7}{8} -\frac{8}{5} y=\frac{13}{3} -3y\\\\35-24y=65-45y\\-24y+45y=65-35\\21y=30\\\\y=\frac{10}{7} \\y=1\frac{3}{7}

Вас заинтересует