• Предмет: Алгебра
  • Автор: lizaperepelitsa24
  • Вопрос задан 7 лет назад

Решите пожалуйста 8 пример!

Приложения:

Ответы

Ответ дал: Аноним
1

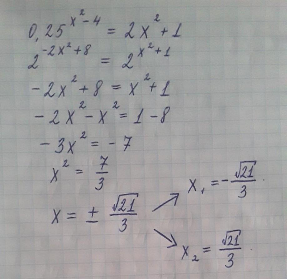
\displaystyle 0,25^{x^2-4}=2^{x^2+1}\\ 2^{-2x^2+8}=2^{x^2+1}\\ -2x^2+8=x^2+1\\ -2x^2-x^2=1-8\\ -3x^2=-7\\\\x^2=\frac{7}{3}\\ \\x=б\frac{\sqrt{21} }{3}

Ответ дал: Olivia43
1

Ответ:

на фото :)

Объяснение:

________________

Приложения:
Вас заинтересует