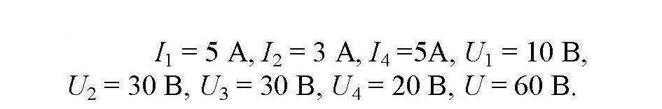
Знайти розподіл струмів і напруг між опорами, якщо амперметр показує 2 А, R1 = 20 Ом, R2 = 10 Ом, R3 = 15 Ом, R4 = 4 Ом Хелп срочно
bedypikmelihor:
ответ 0,4 есть ?
Ответы
Ответ дал:
3
Ответ:
Объяснение:
не мое решение
Приложения:


Вас заинтересует
2 года назад
2 года назад
2 года назад
8 лет назад
8 лет назад
9 лет назад