Ответы
Ответ дал:
1
Ответ:
см фото
Пошаговое объяснение:
Приложения:

Ответ дал:
1
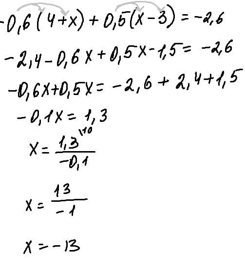
-0,6(4+x)+0,5(x-3)=-2,6
-2.4-0.6x+0.5x-1.5= -2.6
-3.9-0.1x= -2.6
-0.1x= -2.6+3.9
-0.1x= 1.3
x= -13
Вас заинтересует
2 года назад
2 года назад
2 года назад
2 года назад
8 лет назад
9 лет назад