Решить уравнения:
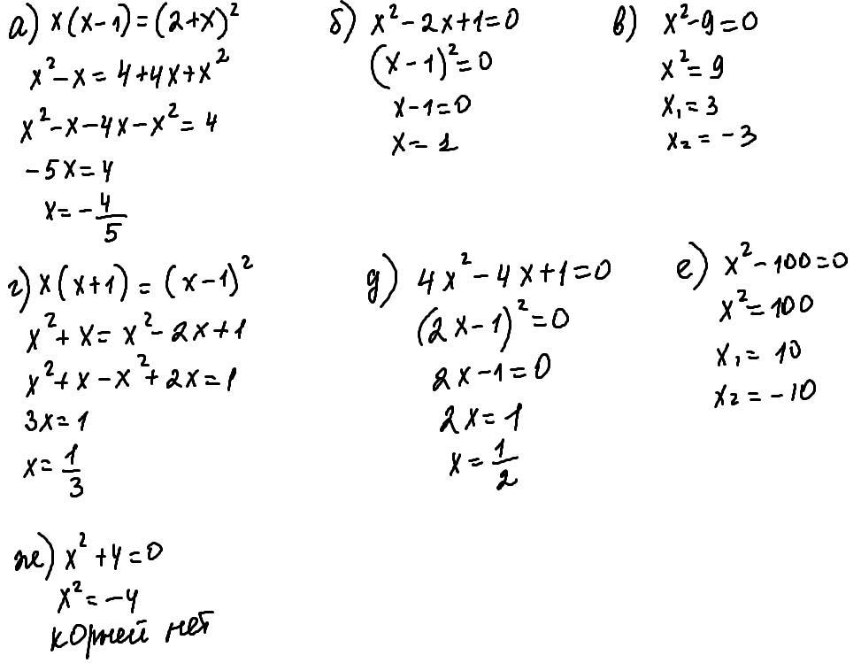
а) х (x-1) = (2 +х)^2?
б) х^2 - 2x +1 = 0
в)x^2 – 9 = 0
г) х (х+1) = (x-1)^2
д) 4х^2 – 4х +1 = 0
е)x^2 – 100 = 0
ж) х^2 + 4 = 0
ДАЮ 40 БАЛЛОВ!!!
Ответы
Ответ дал:
1
Ответ:
см фото
Объяснение:
Приложения:

Вас заинтересует
2 года назад
2 года назад
2 года назад
8 лет назад
8 лет назад
9 лет назад