Ответы
Ответ дал:
2
Ответ: Див. додаток
Объяснение:
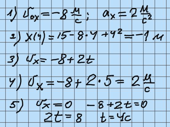
Приложения:


zybkov1950:
Графіки побудовані лише до моменту зупинки мотоцикліста. Якщо Ви вважаєте, що він миттєво розвернувся, то продовжте їх. Це ж стосується і питання 4). Занадто багато наплодилося "мудрих" авторів задач!
Вас заинтересует
2 года назад
2 года назад
2 года назад
8 лет назад
8 лет назад
9 лет назад