• Предмет: Физика
  • Автор: dyydydydhrgrg
  • Вопрос задан 7 лет назад

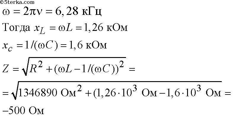
Электрическая цепь состоит из резистора сопротивлением 20 Ом, катушки индуктивности 2 Гн, конденсатора емкостью 2 мкФ и источника с действующим напряжением 200 В и частотой 50 Гц. Чему равна электроемкость конденсатора, который надо подключить параллельно к данному конденсатору чтобы наступил резонанс в электрической цепи. Чему при этом будет равно действующее значение силы тока?

Ответы

Ответ дал: ogo75194
0
Все решение снизу на фото
Приложения:

ogo75194: 1фото дано 2фото решение 3 фото ответ
Ответ дал: rkboyarkins
0

Ответ:Многоклеточными животными называют тех кто состоит из двух, трех и более клеток (многие из них образуют скопления-колонии) , к примеру многоклеточный организм это человек рыба и др. Животные:змеи, рыбы, млекопитающее,птицы, паукообразные.

Вас заинтересует