• Предмет: Алгебра
  • Автор: burbiloviktoria39
  • Вопрос задан 7 лет назад

Звести рівняння ( 2х – 1 )( х – 1 ) = 0 до виду ах2 + вх + с = 0 і розв’язати його. Терміново

Ответы

Ответ дал: olexandrvalenkevych
1

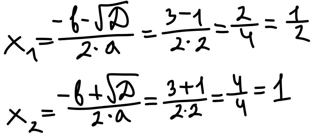
Ответ:

Объяснение:

(2х - 1)(х - 1)=0

Перемножуємо на кожне число (1 фото)

2х² - 2х - х + 1=0

2х² - 3х + 1=0

а=2 b=-3 c=1

D=b² - 4 * a * c=9 - 4 * 2 * 1=9 - 8=1

Продовження на 2 фото☺️

Приложения:

burbiloviktoria39: Дуже дуже дякую тобі
Вас заинтересует