• Предмет: Алгебра
  • Автор: Torontotokyoo
  • Вопрос задан 7 лет назад

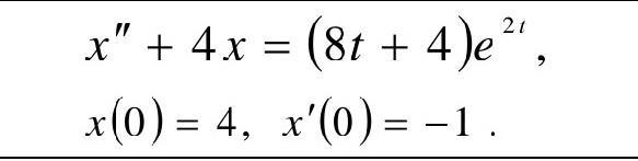
Найти решение задачи Коши, используя метод операционного

исчисления​

Приложения:

Ответы

Ответ дал: ismars
1

Ответ:

x(t)=4\cos{2t} + te^{2t} - \sin 2t

Объяснение:

x''+4x=(8t+4)e^{2t}

x := X(p)\\x' := pX(p)-x(0)=pX(p)-4\\x'' := p^2X(p)-px(0)-x'(0)=p^2X(p)-4p+1\\8te^{2t} = 8 \frac{1}{(p-2)^2} + 4 \frac{1}{p-2}

Подставляем:

X(p)(p^2+4)-4p+1=8\frac{1}{(p-2)^2}+4 \frac{1}{p-2}\\X(p)=\frac{8}{(p-2)^2(p^2+4)} + \frac{4}{(p-2)(p^2+4)} + \frac{4p-1}{p^2+4}=(\frac{p}{2(p^2+4)} - \frac{1}{2(p-2)} + \frac{1}{(p-2)^2})+(\frac{1}{2(p-2)} - \frac{p+2}{2(p^2+4)})+\frac{4p}{p^2+4}-\frac{1}{p^2+4} = 4 \frac{p}{p^2+4}+\frac{1}{(p-2)^2}-\frac{2}{p^2+4}

Дроби были разложены методом неопределённых коэффициентов. Теперь находим оригиналы по таблице:
x(t)=4\cos{2t} + te^{2t} - \sin 2t


Torontotokyoo: спасибо огромное!
Вас заинтересует