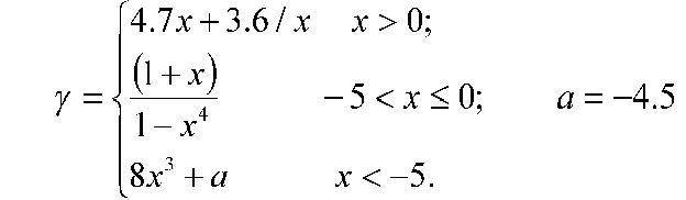
Вирішити приклад в пайтоні з функціями if
ДУЖЕ ТРЕБА !!!!!!!!!!!!!!!!!!!!!!!!!!!!

Приложения:

Ответы

Ответ дал: p15
0

Ответ:

x=float(input())

a=-4.5

if x>0:

   y=4.7*x+3.6/x

elif x<-5:

   y=8*x*x*x+a

else:

   y=(1+x)/(1-x**4)

print (y)

проблема только при x=-5. Я это отнес к -5<x<=0, хотя формально нигде не указано.


p15: И еще интересный случай при x=-1
Вас заинтересует