• Предмет: Математика
  • Автор: alinaaktanova280
  • Вопрос задан 7 лет назад

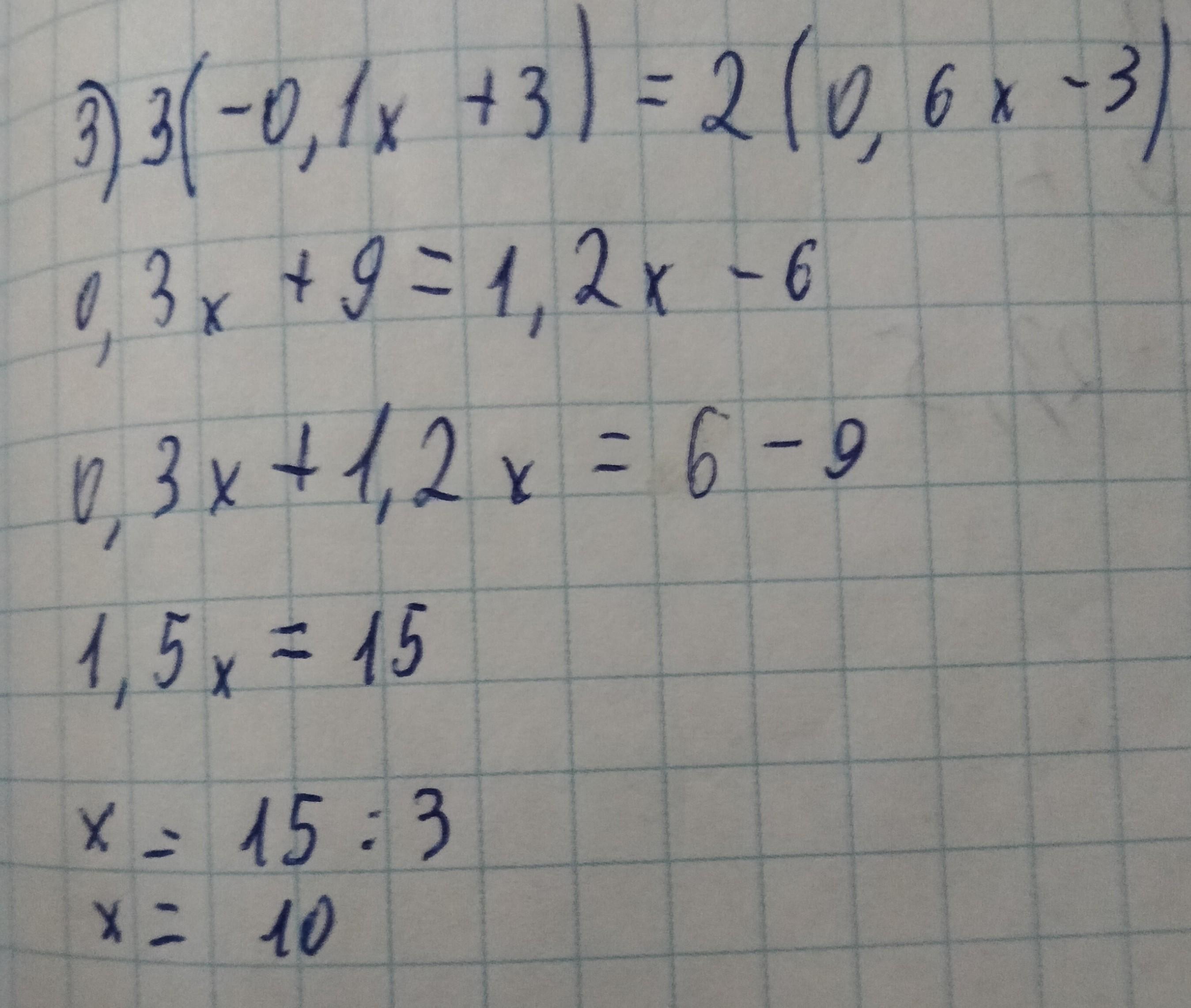
3(-0,1x+3)=2(0,6x-3) помогите пожалуйста, розвёрнутый ответ ​

Ответы

Ответ дал: demchenkoanna362
1

Ответ:

Вот держи ответ вроде правильно

Приложения:
Вас заинтересует