• Предмет: Алгебра
  • Автор: Аноним
  • Вопрос задан 7 лет назад

Помогите пожалуйста решить хоть одну варинт​

Приложения:

Ответы

Ответ дал: olgaua64
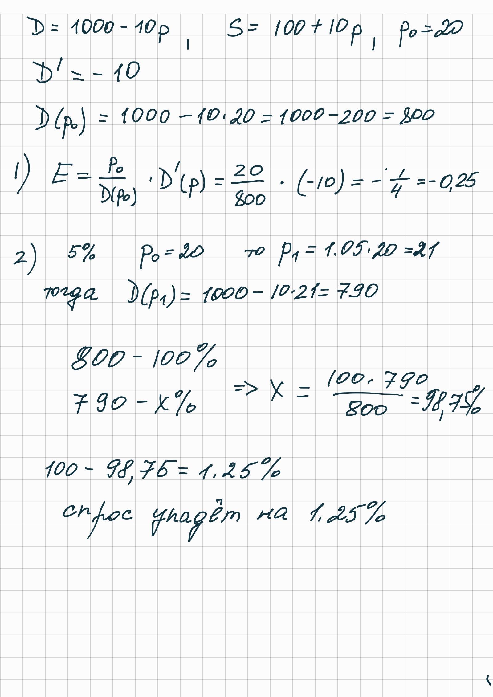
1

Відповідь:

Пояснення:

Приложения:

Аноним: спасибо большое
olgaua64: :)
Вас заинтересует