• Предмет: Алгебра
  • Автор: ggggggghsgdh
  • Вопрос задан 7 лет назад

Спасибо большое если помогли

Приложения:

Ответы

Ответ дал: MikhailGov
1

Ответ:

(6;1/3)

Объяснение:

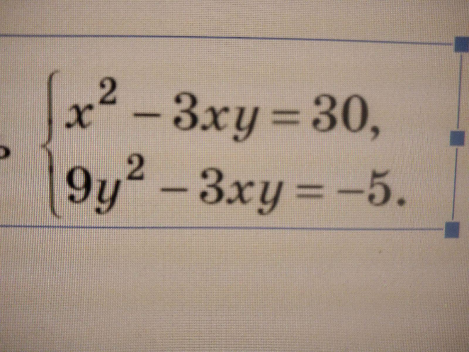
x²-3xy=30 x(x-3y)=30

9y²-3xy=-5 y(9-3x)*(-6)=30

x(x-3y)=-6y(9-3x)

x²-3xy=18xy-54y

x²+54y=21xy

x²-21xy+54y=0

x1x2=54y

x1+x2=21y

x1=3y

x2=18y

1)x=3y

9y²-9y²=30

нет решений.

2)х=18у

9у²-54у²=-5

-45у²=-5

9у²=1

у²=1/9

у=1/3

х=1/3*18

х=6


ggggggghsgdh: Огромное спасибо!
Вас заинтересует