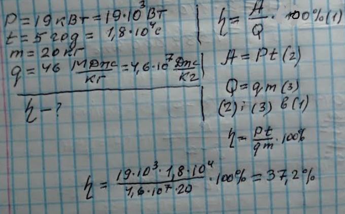
Тепловий двигун потужністю 19 кВт за 5 год роботи витратив 20 кг гасу. Визначте ККД цього двигуна.
Ответы
Ответ дал:
2
Ответ: 37,2%
Объяснение:
Приложения:

Вас заинтересует
2 года назад
2 года назад
2 года назад
2 года назад
8 лет назад
9 лет назад