• Предмет: Математика
  • Автор: andrianov76
  • Вопрос задан 7 лет назад

Даю 100 балов, надо решить все чётные номера
прям пожалуйста

Приложения:

Ответы

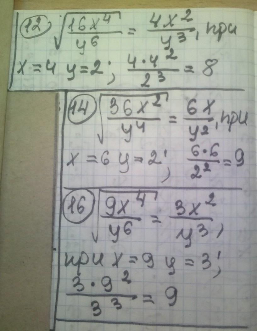
Ответ дал: manyny06
1

Ответ:

решение смотри на фотографии

Приложения:

andrianov76: Спасибо, выручили
Вас заинтересует