• Предмет: Алгебра
  • Автор: dashadiamond756
  • Вопрос задан 7 лет назад

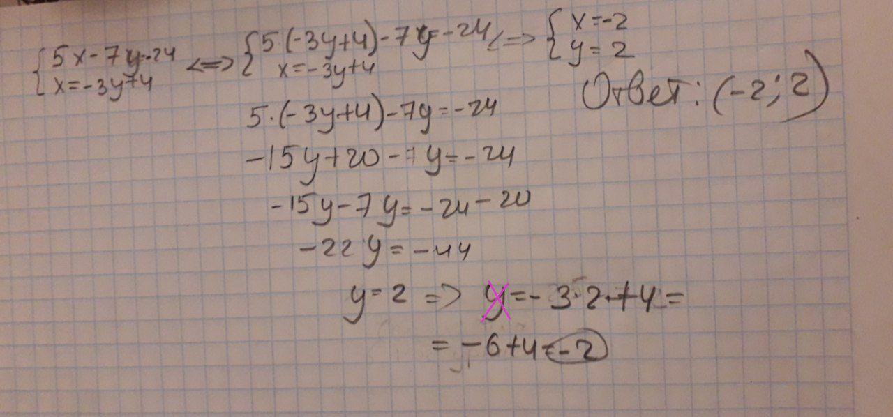
Методом подстановки
5x-7y=-24
x=-3y+4

Ответы

Ответ дал: masha5555555555551
0

Ответ:

прикреплю фото

Приложения:
Вас заинтересует