• Предмет: Математика
  • Автор: darinkakalabina
  • Вопрос задан 7 лет назад

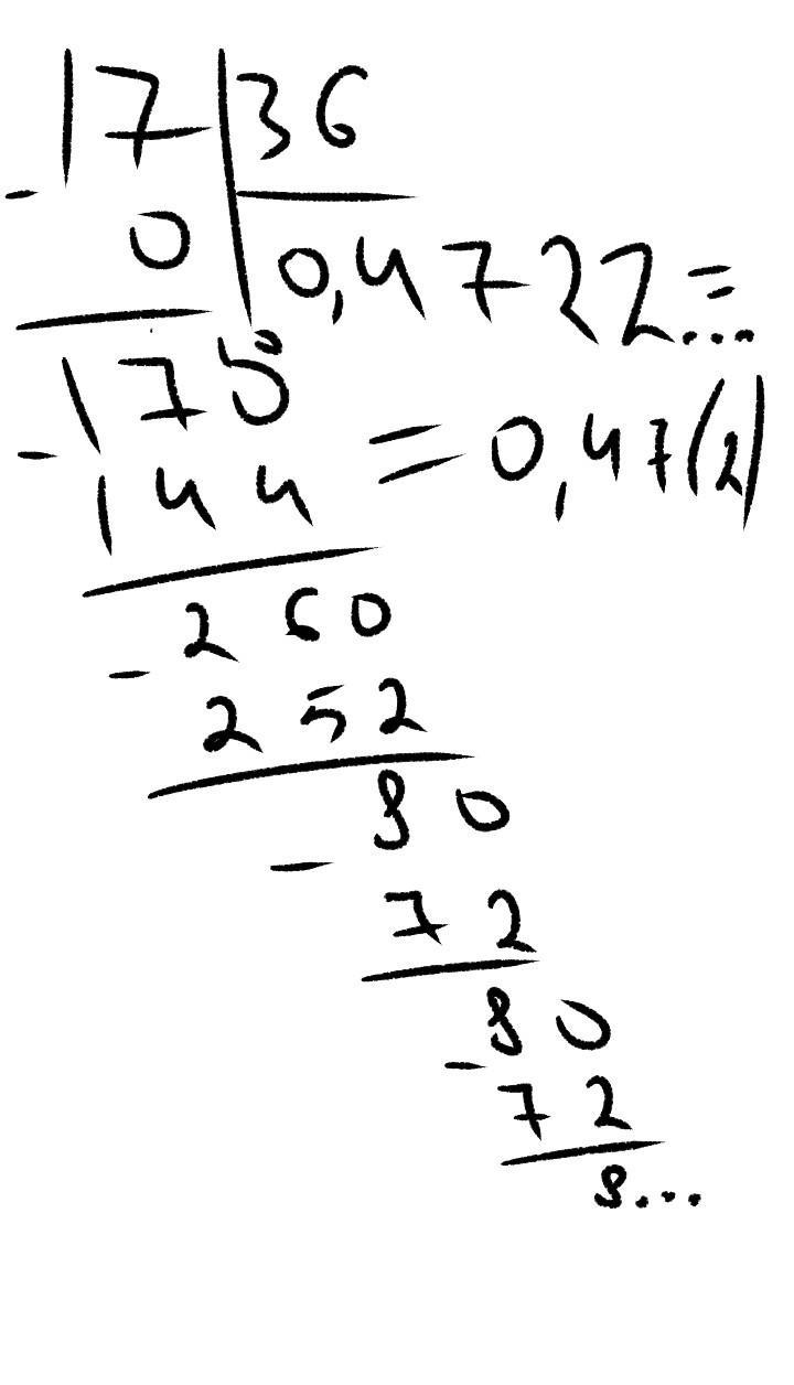
Перевести дробь 17/36, 7/15 в бесконечную периодическую дробь, можно пожалуйста делить в столбик на листе бумаги ? Не копируйте ответ с интернета !

Ответы

Ответ дал: leree
1

очень надеюсь,что все еще нужно и тут все верно

Приложения:

darinkakalabina: спасибо большое
Вас заинтересует