• Предмет: Алгебра
  • Автор: EsSaunder
  • Вопрос задан 7 лет назад

ДАЮ 40 БАЛЛОВ!! Задание на фото

Приложения:

Ответы

Ответ дал: dobra888
1

Ответ:

Объяснение:

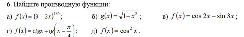
   6 . a )  f( x ) = ( 3 - 2x )¹⁶⁰ = ( 2x - 3 )¹⁶⁰ ;

   f '( x ) = 160( 2x - 3 )¹⁵⁹ *( 2x - 3 )' =  160( 2x - 3 )¹⁵⁹ *2 = 320( 2x - 3 )¹⁵⁹ ;

        б )  g( x ) = √( 1 - x² ) ;

   g '( x ) = 1/[ 2√( 1 - x² ) ] * ( 1 - x² )' = - 2x/[ 2√( 1 - x² ) ] = - x/√( 1 - x² ) ;

        в )  f( x ) = cos2x - sin3x ;

     f '( x ) = ( cos2x )' - ( sin3x )' = - sin2x *( 2x )' - cos3x *( 3x )' =

              = - 2sin2x - 3cos3x ;  

        г )   f( x ) = ctgx + tg( x - π/4 ) ;

      f '( x ) = ( ctgx )' + [ tg(x - π/4 ) ]' = - 1/sin²x + 1/cos²( x - π/4 ) *( x - π/4 )' =

                = - 1/sin²x + 1/cos²( x - π/4 ) ;

        д ) f( x ) = cos²x ;

       f '( x ) = 2cosx *( cosx )' = - 2cosx *sinx = - sin2x .

Вас заинтересует