• Предмет: Алгебра
  • Автор: klozhechnikova
  • Вопрос задан 7 лет назад

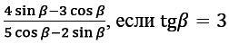
Вычислите пожалуйста)

Приложения:

Ответы

Ответ дал: NNNLLL54
0

Ответ:

1)\ \ tg\beta =3\\\\\dfrac{4sin\beta -3cos\beta }{2cos\beta -2sin\beta }=\dfrac{cos\beta \cdot (4\, tg\beta -3)}{cos\beta \cdot (5-2\, tg\beta )}=\dfrac{4\, tg\beta -3}{5-2\, tg\beta }=\dfrac{4\cdot 3-3}{5-2\cdot 3}=\dfrac{9}{-1}=-9

Применили формулу  tg\beta =\dfrac{sin\beta }{cos\beta }   .

2)\ \ cosa=-0,3  

Формула косинуса двойного угла:

cos2a=cos^2a-sin^2a=cos^2a-(1-cos^2a)=2cos^2a-1  

-4\cdot cos2a=-4\cdot (2cos^2a-1)=-4\cdot (2\cdot 0,09-1)=-4\cdot (0,18-1)=\\\\=-4\cdot (-0,82)=3,28


klozhechnikova: СПАСИБО
Вас заинтересует